FG Study
Past Papers
Quiz
English
English Notes Modern Essays
English Notes Modern Essays Part 2
English Short Stories Notes
English Poems Notes
FA-FSC
1st Year Islamiat Notes
Political Sci Part 1
Western Political Thought Book 1
Western Political Thought Book 2
Western Political Thought Book 3
Muslim Political Thought Book 1
Muslim Political Thought Book 2
Muslim Political Thought Book 3
Comparative Developmental Politics Book 1
Comparative Developmental Politics Book 2
Comparative Developmental Politics Book 3
International Relations Book 1
International Relations Book 2
Dynamics Politics in Pakistan Book 1
Dynamics Politics in Pakistan Book 2
Dynamics Politics in Pakistan Book 3
Political Sci Part 2
Comparative Political Systems
Pakistan Movement
External Relations of Pakistan
Islamiat
Al Quran Al Hakeem
Al Hadith Al Sharif
Comparative Study of Religion
Islamic History
Arabic Language Literature
Dawa wa Irshad
AL Fiqah wa uloom
Islam Modern Social Thoughts
Islam Modern Economics Thoughts
Islam and Science
History
History of lndo Pakistan
Research Methodology Historiography
Later Mughals British India
Muslim Rule in India
Early History of Islam
The Punjab in Modern Times
The Great Mughals
State and Society in Muslim India
Muslim Struggle for Pakistan
Economics
Microeconomic Theory
Macroeconomic Theory
Mathematical Economic
Statistics Economist
Islamic Economics
Major Issues Pakistan Economy
International Trade Theory
Econometrics Theory Application
Development Economics
Research Methodology
Monetary Theory Policy
Agricultural Economics
Labour Economics
Urdu
Jadeed Adab
Criticism
Iqbal Ka Khasoosi Mutalia
Almi Classic Taarufi Mutalaa
Hali Akbar ka Khasoosi Mutalia
Mir Ghalib Shaeree Khususi Mutalaa
Thesis Faiz Ahmed Faiz
Syllabus
FPSC CSS Exam Syllabus
PU MA English Syllabus
PU MA Political Science Syllabus
PU MA History Syllabus
☰
MA Economics Notes Mathematical Economic
FG STUDY Pakistan’s Best Education Site
Contents
Last
Back
Next
Contents
Last
Back
Next
FG STUDY Pakistan’s Best Education Site
ads
MA Economics Notes Mathematical Economic
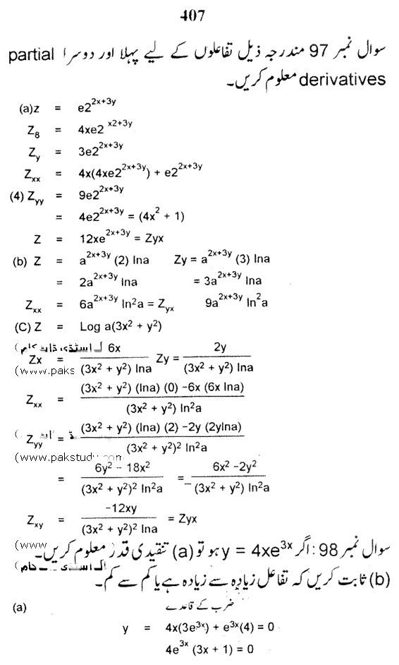
The MA Economics Part 1 Mathematical Economic notes available here.The pak study provide the MA Economics 1st year paper No 3 Mathematical Economic notes in ond books, you can read here