FG Study Past Papers Quiz


MA Economics Notes Macroeconomic Theory

FG STUDY Pakistan’s Best Education Site Subscribe to FG STUDY YouTube Channel
Contents Last Back Next
Contents Last Back Next FG STUDY Pakistan’s Best Education Site Subscribe to FG STUDY YouTube Channel
ads
MA Economics Notes Macroeconomic Theory
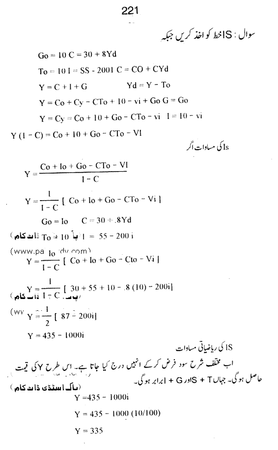
The MA Economics Part 1 Macroeconomic Theory notes available here.The pak study provide the MA Economics 1st year paper No 2 Macroeconomic Theory notes in ond books, you can read here