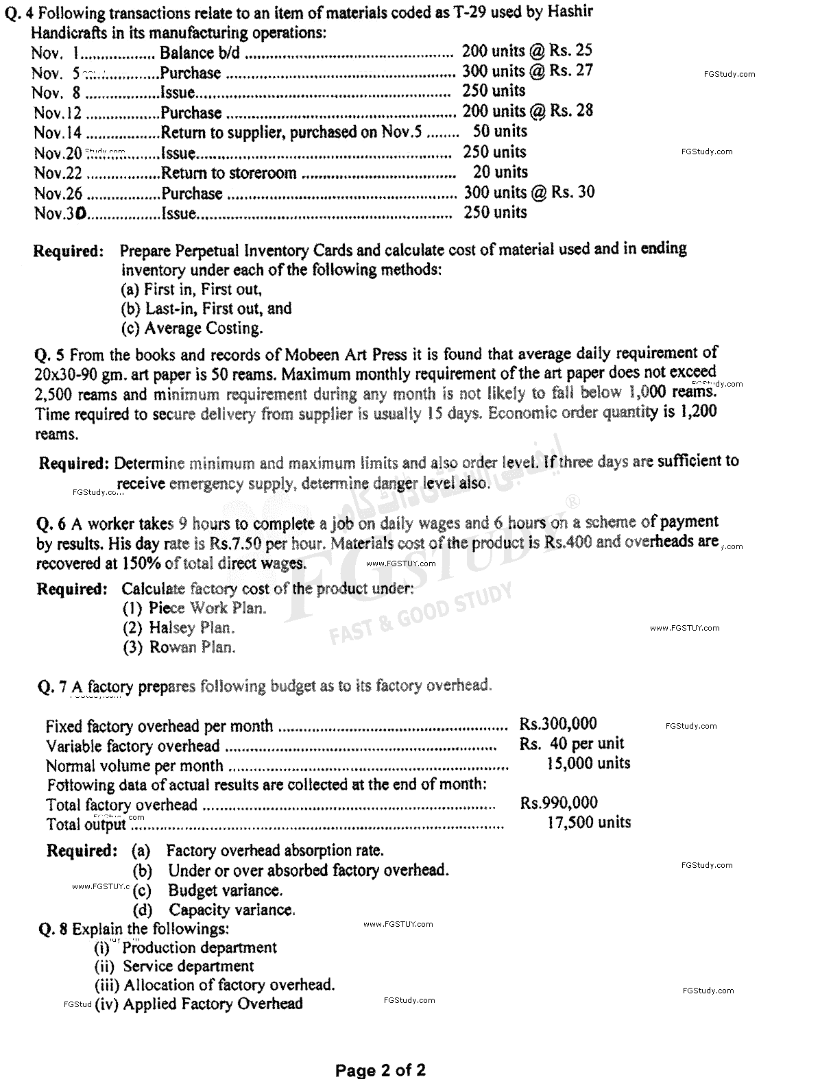
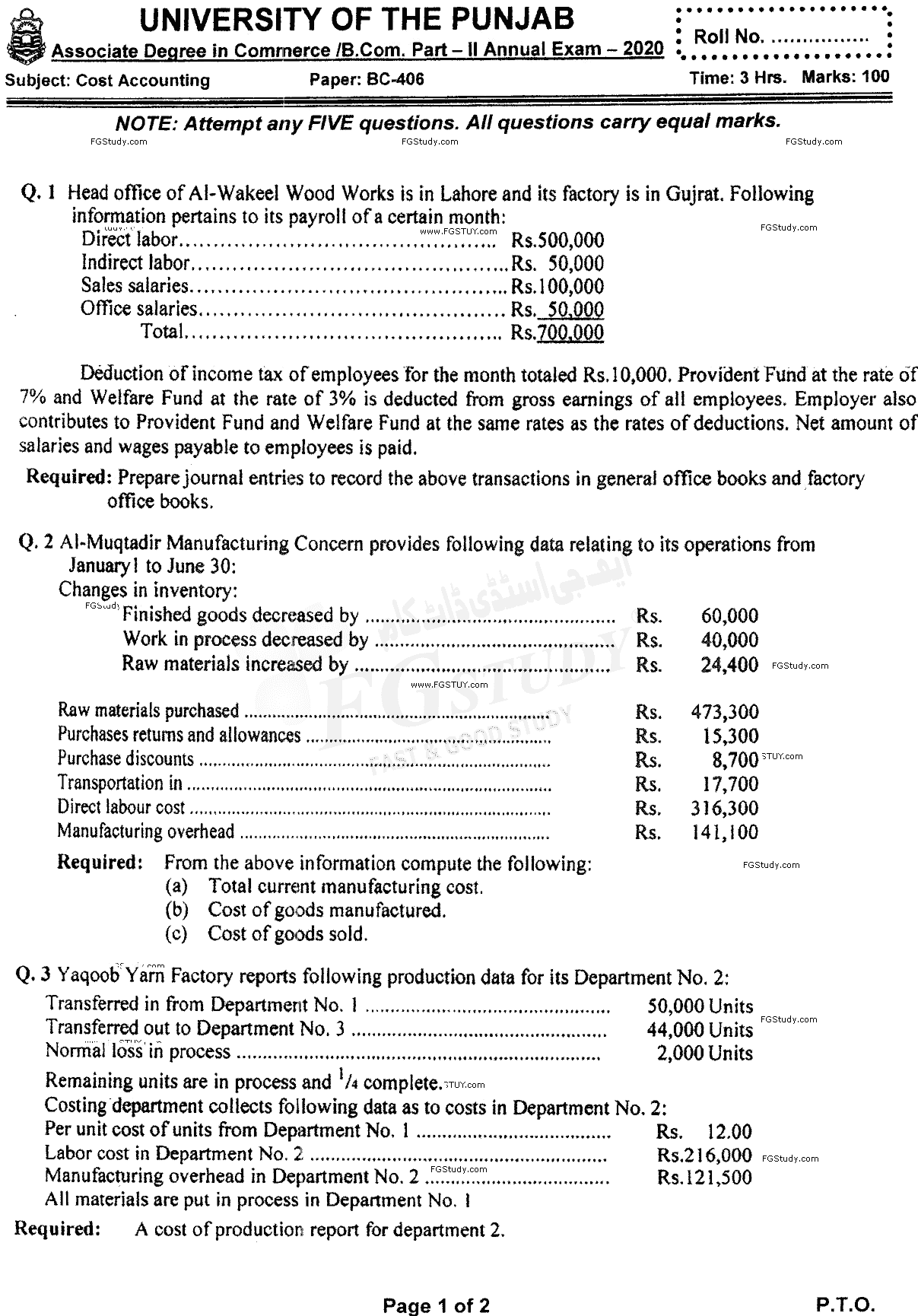
B Com Part 2 Cost Accounting Past Paper 2020 Punjab University

Instutite Punjab University
Grade B Com Part 2
Subject Cost Accounting
Year 2020
Ads by Google
B Com Part 2 Cost Accounting Past Paper 2020 Punjab UniversityB Com Part 2 Cost Accounting Past Paper 2020 Punjab University
Ads by Google

B Com Part 2 Cost Accounting Past Paper Punjab University of Pakistan are available here. You can also send us your exam paper after your exam. Submit Your Exam Paper