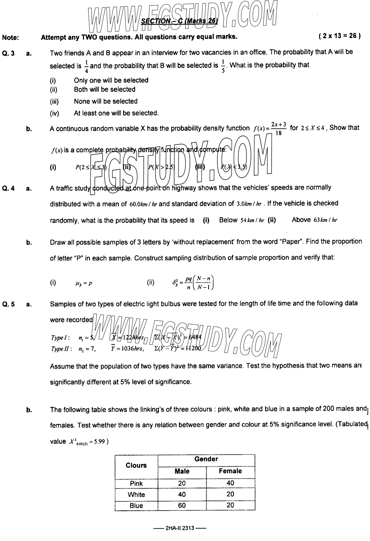
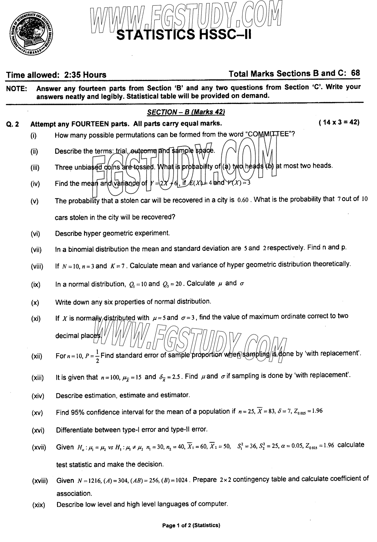
12th Class Statistics Past Paper 2023 Federal Board Islamabad Subjective

Instutite Federal Board Islamabad
Grade 12th Class
Subject Statistics
Year 2023
Ads by Google
12th Class Statistics Past Paper 2023 Federal Board Islamabad Subjective12th Class Statistics Past Paper 2023 Federal Board Islamabad Subjective
Ads by Google

12th Class Statistics Past Paper Federal Board Islamabad of Pakistan are available here. You can also send us your exam paper after your exam. Submit Your Exam Paper