FG Study Past Papers Quiz Notes Syllabus Model Paper

Model Paper Class 12 Karachi Board

Contents Last Back Next

Model Paper Class 12 Karachi Board

Model Paper Class 12 Karachi Board
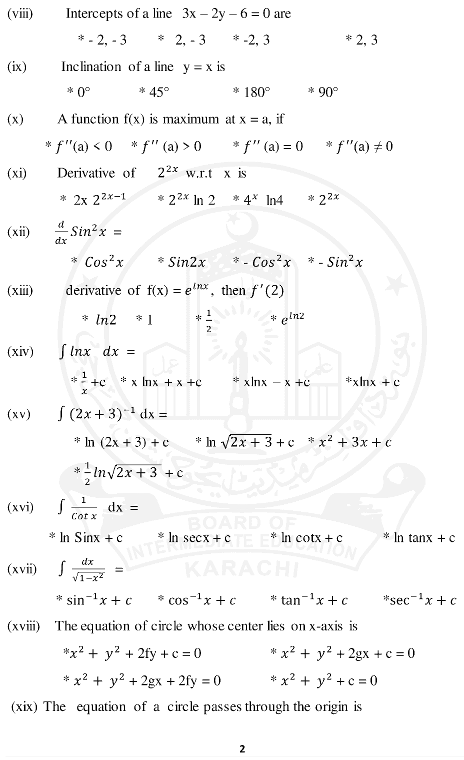
The Board of Intermediate Education Karachi has released model papers for all subjects aimed at guiding students and teachers, The complete Model Paper Class 12 Karachi Board available on fg study. It is very important for you to study before taking the karachi board exam. The Board of Intermediate Education Karachi issuance of the papers came after a decision of the sindh education and literacy department. The HSSC Paprt 2 model paper 2021 karachi board are based on the curtailed syllabus
https://fgstudy.com/quiz/node/7395" >Privacy Policy

2nd year model paper 2020,Board of Secondary Education Karachi,Board of education in Karachi,biek model paper 2021,board of intermediate karachi official website,2nd year model paper,guess paper 2020 2nd year karachi board,guess paper 2021 2nd year karachi board,guess paper 2021 class 12 karachi board,guess paper 2021 class 12 karachi board,karachi board model paper 2020,karachi board model paper 2021,karachi board model papers 2019,model paper 2019 class 12 karachi board,model paper 2020 class 12 sindh board,model paper 2020 class 12 karachi board,model paper 2021 class 12 karachi board,model paper 2021 class 12 karachi board pdf,model paper 2021 class 12 sindh board,model paper 2021 class 12 sindh board pdf,model paper 2021 class 12 karachi board,model paper 2021 karachi board,